科研计算器 | 空间走离效应
2025.04.10
引言
在非线性光学频率转换过程中,走离效应是影响转换效率的关键因素之一。走离角作为量化这一效应的重要参数,直接决定了基频光和倍频光在晶体中的空间分离程度。本文介绍的"激光倍频走离角计算器"是一款基于Web的工具,能够快速计算各种非线性晶体在不同波长下的走离角。通过解析该计算器的代码实现和物理原理,我们将系统性地介绍走离角的相关知识,包括其物理概念、计算公式、使用方法以及实际应用案例。
概念
走离角的物理本质
走离角(Walk-off angle)是指在各向异性晶体中,光波的能量传播方向(坡印廷矢量方向)与波矢方向之间的夹角。这种现象源于晶体中光波的电场振动方向与能量流动方向不一致的特性。
走角效应的影响
晶体分类特性
计算公式
基本走离角公式
使用方法
数据解读要点
实例解析
我们以800nm激光在BBO晶体中的I类相位匹配(O+O→E)为例,计算其走离角。需要以下参数:
基频波长:800nm
倍频波长:400nm
BBO晶体的折射率方程
折射率计算
1.基频光折射率计算
将波长0.800μm代入BBO寻常光的折射率方程:

2.倍频光折射率计算
走离角计算
代入数值
结语
走离角计算是设计高效非线性频率转换系统的关键环节。本文介绍的计算器工具通过精确的折射率模型和走离角公式,为实验设计提供了可靠的理论参考。理解走离效应的物理本质和计算方法,有助于在实际应用中优化晶体选择、光束参数匹配和系统设计。
未来发展方向包括:
通过结合理论计算和实验验证,可以进一步提高非线性频率转换的效率和光束质量,满足科学研究与工业应用中对激光特性的多样化需求。
如您在计算器的使用过程中发现有任何问题或错误,请及时与我们联系,我们将及时修改,并且为感谢您的信任与监督,我们特意为您准备了一份“监督奖励”,如有其他需要我们补充添加的也欢迎联系我们,我们非常荣幸可以为各位的科研经历提供些许便利。
科研之路,道阻且长,预祝各位专家学者科研顺利,早出成果。
在非线性光学频率转换过程中,走离效应是影响转换效率的关键因素之一。走离角作为量化这一效应的重要参数,直接决定了基频光和倍频光在晶体中的空间分离程度。本文介绍的"激光倍频走离角计算器"是一款基于Web的工具,能够快速计算各种非线性晶体在不同波长下的走离角。通过解析该计算器的代码实现和物理原理,我们将系统性地介绍走离角的相关知识,包括其物理概念、计算公式、使用方法以及实际应用案例。
概念
走离角的物理本质
走离角(Walk-off angle)是指在各向异性晶体中,光波的能量传播方向(坡印廷矢量方向)与波矢方向之间的夹角。这种现象源于晶体中光波的电场振动方向与能量流动方向不一致的特性。
走角效应的影响
- 转换效率限制:导致基频光和倍频光在空间上逐渐分离,减少有效相互作用长度
- 光束质量影响:引起倍频光斑形状畸变和光强分布不均匀
- 系统设计约束:限制了可用的晶体长度和光束参数选择
晶体分类特性
1.单轴晶体(如BBO、KDP):
|
2.双轴晶体(如LBO、BIBO):
|
计算公式
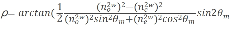
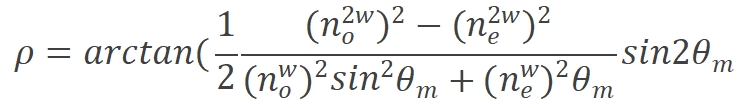
基本走离角公式
对于负单轴晶体第一类相位匹配:![]() |
对于正单轴晶体第一类相位匹配: |
其中:





使用方法
单点计算模式:
|
曲线绘制模式:
|
数据解读要点
- 单轴晶体:直接显示走离角ρ
- 双轴晶体(如LBO):按不同切割平面显示结果
- 典型值范围:1°-5°,数值越大对转换效率影响越显著
实例解析
我们以800nm激光在BBO晶体中的I类相位匹配(O+O→E)为例,计算其走离角。需要以下参数:
基频波长:800nm
倍频波长:400nm
BBO晶体的折射率方程
折射率计算
1.基频光折射率计算
将波长0.800μm代入BBO寻常光的折射率方程:

2.倍频光折射率计算
![]() |
计算ne2(λ=0.400μm):![]() |
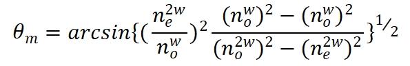
| 相位匹配角计算 使用负单轴晶体相位匹配公式: ![]() |
代入数值:![]() |
走离角计算
代入数值

![]() |
|
结语
走离角计算是设计高效非线性频率转换系统的关键环节。本文介绍的计算器工具通过精确的折射率模型和走离角公式,为实验设计提供了可靠的理论参考。理解走离效应的物理本质和计算方法,有助于在实际应用中优化晶体选择、光束参数匹配和系统设计。
未来发展方向包括:
- 温度依赖性模型的集成
- 非共线相位匹配的计算支持
- 走离补偿方案的模拟功能
- 超短脉冲情况下的宽带走离效应分析
通过结合理论计算和实验验证,可以进一步提高非线性频率转换的效率和光束质量,满足科学研究与工业应用中对激光特性的多样化需求。
如您在计算器的使用过程中发现有任何问题或错误,请及时与我们联系,我们将及时修改,并且为感谢您的信任与监督,我们特意为您准备了一份“监督奖励”,如有其他需要我们补充添加的也欢迎联系我们,我们非常荣幸可以为各位的科研经历提供些许便利。
科研之路,道阻且长,预祝各位专家学者科研顺利,早出成果。
div > div >
智能助手







