科研计算器 | 倍频相位匹配角
2025.04.02
引言
激光倍频技术是现代激光系统中最常用的频率转换方法之一,它能够有效地将激光波长转换到更短的波段。这项技术在光谱学、激光显示、医学诊疗和精密加工等领域有着广泛应用。相位匹配作为实现高效倍频转换的关键条件,其准确计算对实验设计至关重要。本文将解析一款实用的"激光倍频相位匹配角计算器",并系统介绍相关物理概念、计算公式和使用方法。
基本概念
激光倍频(SHG)原理
激光倍频是一种二阶非线性光学效应,当强激光通过非线性晶体时,两个同频率的光子会"合并"产生一个频率加倍的光子。这一过程遵循能量守恒(ħω + ħω = 2ħω)和动量守恒(相位匹配)条件。
相位匹配的物理意义
相位匹配要求基频光和倍频光在晶体中传播时保持固定的相位关系,使得不同位置产生的倍频光能够相干叠加而非相互抵消。在各向异性晶体中,通过选择适当的传播方向(相位匹配角),可以利用晶体的双折射特性来补偿由于色散导致的相位失配。
晶体分类与匹配方式
1.单轴晶体(如BBO、KDP):
|
2.双轴晶体(如LBO、BIBO):
|
计算公式
| 折射率方程(Sellmeier方程) 每种晶体都有特定的折射率计算公式,例如: BBO晶体(λ单位为μm): ![]() |
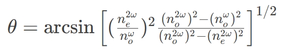
相位匹配角计算公式1. 负单轴晶体第一类相位匹配(O+O→E) |
使用方法
单点计算模式
1.选择晶体类型(BBO、KDP等)和匹配模式
2.输入基频激光波长(单位nm)
3.点击"计算"按钮获取结果
4.结果显示包括:
- 基频光折射率
- 相位匹配角度
- 对于双轴晶体还显示不同切割平面的匹配条件
计算实例:800nm激光在BBO晶体中的相位匹配角
| 我们以800nm激光在BBO晶体中的I类相位匹配(O+O→E)为例,详细展示计算过程。 已知条件:
|
第一步:计算基频光折射率(no₁)![]() |
1.计算no₂(λ=0.400μm): |
2.计算ne₂(λ=0.400μm):![]() |
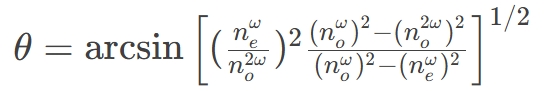
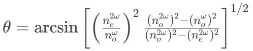
第三步:计算相位匹配角θ 使用负单轴晶体I类相位匹配公式: ![]() 代入数值: ![]() 分步计算: 1. 计算(ne₂/no₁)²: ![]() |
2.计算分子部分(no₂² - no₁²): ![]() 5. 最终计算: ![]() |
![]() |
|
如您在计算器的使用过程中发现有任何问题或错误,请及时与我们联系,我们将及时修改,并且为感谢您的信任与监督,我们特意为您准备了一份“监督奖励”,如有其他需要我们补充添加的也欢迎联系我们,我们非常荣幸可以为各位的科研经历提供些许便利。
科研之路,道阻且长,预祝各位专家学者科研顺利,早出成果。
div > div >
智能助手














