科研计算器 | 双正透镜成像
2025.03.26
引言
在光学系统中,透镜是核心元件之一,广泛应用于显微镜、望远镜、相机等设备中。双凸透镜成像系统是一种常见的光学设计,通过两个凸透镜的组合,可以实现物体的放大成像。本文将介绍双凸透镜成像的基本原理,并解析一个基于网页的计算工具,帮助读者理解如何计算成像距离和总放大率。
概念
什么是双凸透镜成像?
双凸透镜成像系统由两个凸透镜组成:一个作为物镜(Objective Lens),另一个作为目镜(Eyepiece)。物镜用于形成物体的中间像,目镜则进一步放大该像。通过调整物镜和目镜的焦距以及它们之间的距离,可以优化成像效果。双凸透镜成像的核心在于几何光学中的薄透镜公式和放大率公式。
计算公式
使用方法
1. 输入物体距离:
输入物体到物镜的距离 U1
2. 输入物镜焦距:
输入物镜的焦距 fo
3. 输入目镜焦距:
输入目镜的焦距 fe
4. 输入透镜间距:
输入物镜和目镜之间的距离 L
5. 查看结果:
工具会自动计算并显示最终成像距离 V2和总放大率 M
实例解析
假设我们有以下参数:
物体到物镜的距离U1=0.3m
物镜的焦距fo=0.2m
目镜的焦距fe=0.1m,
物镜和目镜之间的距离L=0.25m
我们需要计算最终成像距离V2和总放大率M
计算步骤
如您在计算器的使用过程中发现有任何问题或错误,请及时与我们联系,我们将及时修改,并且为感谢您的信任与监督,我们特意为您准备了一份“监督奖励”,如有其他需要我们补充添加的也欢迎联系我们,我们非常荣幸可以为各位的科研经历提供些许便利。科研之路,道阻且长,预祝各位专家学者科研顺利,早出成果。
在光学系统中,透镜是核心元件之一,广泛应用于显微镜、望远镜、相机等设备中。双凸透镜成像系统是一种常见的光学设计,通过两个凸透镜的组合,可以实现物体的放大成像。本文将介绍双凸透镜成像的基本原理,并解析一个基于网页的计算工具,帮助读者理解如何计算成像距离和总放大率。
概念
什么是双凸透镜成像?
双凸透镜成像系统由两个凸透镜组成:一个作为物镜(Objective Lens),另一个作为目镜(Eyepiece)。物镜用于形成物体的中间像,目镜则进一步放大该像。通过调整物镜和目镜的焦距以及它们之间的距离,可以优化成像效果。双凸透镜成像的核心在于几何光学中的薄透镜公式和放大率公式。
计算公式
| 双凸透镜成像系统的核心公式如右: 物镜成像公式:物镜的成像距离V1和放大率M1 其中: u1是物体到物镜的距离, fo是物镜的焦距。 |
|
使用方法
1. 输入物体距离:
输入物体到物镜的距离 U1
2. 输入物镜焦距:
输入物镜的焦距 fo
3. 输入目镜焦距:
输入目镜的焦距 fe
4. 输入透镜间距:
输入物镜和目镜之间的距离 L
5. 查看结果:
工具会自动计算并显示最终成像距离 V2和总放大率 M
实例解析
假设我们有以下参数:
物体到物镜的距离U1=0.3m
物镜的焦距fo=0.2m
目镜的焦距fe=0.1m,
物镜和目镜之间的距离L=0.25m
我们需要计算最终成像距离V2和总放大率M
计算步骤
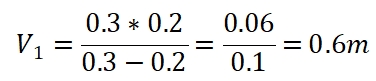
| 1. 计算物镜的成像距离V1 根据物镜成像公式代入已知值: ![]() |
2.计算物镜的放大率M1 根据物镜放大率公式代入已知值: ![]() |
|
3.判断物镜和目镜之间的距离L的情况 已知L=0.25m,而V1=0.6m。由于L<V1,属于情况1 |
4.计算目镜的成像距离V2和放大率M2 |
|
![]() |
![]() |
![]() |
如您在计算器的使用过程中发现有任何问题或错误,请及时与我们联系,我们将及时修改,并且为感谢您的信任与监督,我们特意为您准备了一份“监督奖励”,如有其他需要我们补充添加的也欢迎联系我们,我们非常荣幸可以为各位的科研经历提供些许便利。科研之路,道阻且长,预祝各位专家学者科研顺利,早出成果。
div > div >
智能助手





