引言:
在现代光学与激光技术领域,光栅对(Grating Pair)作为关键的光学元件,广泛应用于脉冲激光的压缩与色散管理。精确控制激光脉冲的时间色散对于实现高质量的超短脉冲至关重要。本文旨在介绍光栅对的基本原理、时间色散的理论基础,以及一种在线计算工具的使用方法,以辅助研究人员和工程师在光学设计与实验中优化色散特性。
概念:
1.光栅对的基本结构
光栅是一种具有周期性刻线的光学元件,通过衍射作用将入射光分散为多个不同角度的衍射光束。当两个光栅按照特定角度和间距组合时,形成的装置即为光栅对。光栅对的主要参数包括:
· 入射角(γ):激光入射到光栅上的角度。
· 衍射角(θ):光线经过光栅衍射后的出射角度。
· 光栅刻线密度(d):单位长度内的刻线数量,通常以线/mm表示,决定了光栅的衍射效率与分辨率。
· 光栅对间距(Lg):两个光栅之间的中心距,直接影响色散的量级。
· 衍射级(m):光栅衍射的级数,常选用第一衍射级进行应用。
2.时间色散的理论基础
时间色散(Time Dispersion)描述了光脉冲在传播过程中,由于介质或光学元件的色散特性,不同频率成分在时间上的延迟差异。色散可分为以下几阶:
· 一阶色散(Group Dispersion, GD):描述脉冲中不同频率成分的群速度差异,影响脉冲的传播速度。
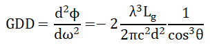
· 二阶色散(Group Delay Dispersion, GDD):主要影响脉冲的相位畸变,是脉冲压缩和展宽的关键参数。
· 三阶色散(Third-Order Dispersion, TOD):进一步影响脉冲的形状,尤其在处理极短脉冲时显得尤为重要。
控制和优化这些色散参数,对于实现高质量的超短激光脉冲具有重要意义。
计算公式:
光栅对的色散特性可通过一系列物理公式进行量化。主要涉及的公式如下:
|
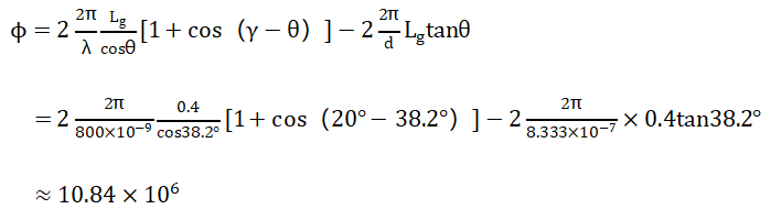
相位(Φ): |
一阶色散(GD): |
|
二阶色散(GDD): |
三阶色散(TOD): |
其中:
Lg:光栅对间距
γ:光栅入射角
θ:衍射角
d:光栅常数
λ:波长
c:光速
这些公式为计算各阶色散提供了理论依据,指导光栅对的设计与优化。
使用方法:
本文介绍的光栅对时间色散计算器提供了便捷的在线工具,用户可通过输入光栅对的基本参数,快速获得色散特性的数值结果及图形展示。主要功能模块包括色散计算、色散曲线绘制、程序说明与公式展示,以及数据输出。
1.色散计算:在“色散计算”选项卡中,用户需输入以下参数: 激光波长(λ):单位为纳米(nm),例如800 nm。 光栅入射角(γ):单位为度(°),例如20°。 光栅刻线密度(ddensity):单位为线/mm,例如1200线/mm。 光栅对间距(Lg):单位为毫米(mm),例如400 mm。 衍射级(m):通常选择1级。 输入完成后,点击“计算”按钮,工具将输出各阶色散的数值,包括相位、GD、GDD和TOD。 |
2.色散曲线绘制: 在“色散曲线”选项卡中,用户可设置波长范围(起始波长和结束波长)及其他光栅对参数。点击“计算”按钮后,工具将自动计算并绘制GDD与TOD随波长变化的曲线,直观展示色散随波长的变化趋势。用户还可选择导出计算数据,以便进一步分析和记录。 |
|
|
工具提供了详细的使用说明和相关物理公式,帮助用户理解色散计算的理论基础与实际应用。通过查看程序说明,用户可深入了解各阶色散的物理意义及其在光学设计中的重要性。 |
用户可选择将计算结果以表格形式导出,便于在实验记录或进一步数据分析中使用。勾选“输出计算数据”选项后,工具将生成包含波长、GDD及TOD等参数的详细数据表。 |
实例解析:
以下通过具体实例,展示如何使用光栅对时间色散计算工具进行色散分析。
|
示例一:单波长色散计算 |
|
|
|
|
|
|
|
|
|
|
|
示例二:波长范围色散曲线绘制 考虑激光波长范围从700 nm到900 nm,光栅对参数保持不变。输入起始波长700 nm,结束波长900 nm,其他参数同上,点击“计算”按钮,工具将绘制GDD与TOD随波长变化的曲线。 此外,勾选“输出计算数据”选项后,工具将生成包含各波长点的GDD和TOD值的表格,便于用户进行进一步的数据分析和比较。 |
|
点击图片,跳转网页
如您在计算器的使用过程中发现有任何问题或错误,请及时与我们联系,我们将及时修改,并且为感谢您的信任与监督,我们特意为您准备了一份“监督奖励”,如有其他需要我们补充添加的也欢迎联系我们,我们非常荣幸可以为各位的科研经历提供些许便利。科研之路,道阻且长,预祝各位专家学者科研顺利,早出成果。
智能助手












