引言:
激光技术在现代科学与工程中具有广泛应用,从医疗手术到材料加工,再到基础物理研究。理解激光的关键参数,如峰值强度和能量通量,对于优化激光应用至关重要。本文将介绍高斯激光脉冲的峰值强度与能量通量,并介绍一个简便的在线计算工具,帮助用户高效进行相关计算。
概念:
-
高斯激光脉冲具有光强分布呈高斯函数形状的特性,即脉冲中心光强最高,向外逐渐减弱。这种分布在减少热损伤和提高加工精度方面具有显著优势。
-
峰值强度(Peak Intensity)是指激光脉冲中的最大光强,通常以瓦特每平方厘米(W/cm²)或吉瓦每平方厘米(GW/cm²)表示。它决定了激光脉冲对材料的瞬时影响,如引发等离子体形成或材料去除。
-
能量通量(Energy Fluence)表示单位面积接收到的总能量,单位为焦耳每平方厘米(J/cm²)。它反映了激光脉冲对材料的累积能量效应,影响材料的热响应和形变。
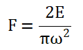
计算公式:
|
1.峰值强度I: ![]() |
2.能量通量 F: ![]() |
其中:
-
E为脉冲能量(焦耳,J)
-
ω为1/e²强度下的光束半径(厘米,cm)
-
τ为脉冲持续时间(飞秒,fs)
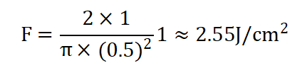
实例分析:
假设一个高斯激光脉冲具有以下参数:
-
脉冲能量E=1J(焦耳)
-
光束半径ω=0.5cm(厘米)
-
脉冲持续时间τ=100fs(飞秒)
![]() ![]() |
通过计算:
即使用1J能量、0.5cm光束半径和100fs脉冲持续时间的高斯激光脉冲,接可以得到峰值强度达到约 24TW/cm² 以及约 18.8太瓦(TW) 的峰值功率。这一高强度足以在极短时间内在材料表面引发显著的非线性光学效应,如等离子体形成、材料瞬时蒸发或精密加工。这种高峰值强度的激光脉冲在科研和工业应用中具有重要价值,如在微纳加工、材料科学研究以及高能物理实验中发挥关键作用。 |
掌握高斯激光脉冲的峰值强度与能量通量的计算,对于优化激光应用和提升加工质量具有重要意义。通过本文介绍的在线计算工具,科研人员和工程师能够快速获取所需参数,从而更有效地设计和调整激光系统,满足多样化的应用需求。随着激光技术的不断进步,深入理解这些基本参数将为相关领域的发展提供坚实的基础。
点击图片,跳转网页
如您在计算器的使用过程中发现有任何问题或错误,请及时与我们联系,我们将及时修改,并且为感谢您的信任与监督,我们特意为您准备了一份“监督奖励”,如有其他需要我们补充添加的也欢迎联系我们,我们非常荣幸可以为各位的科研经历提供些许便利。科研之路,道阻且长,预祝各位专家学者科研顺利,早出成果。
智能助手







