引言:
在物理学和工程学的诸多领域中,波长(Wavelength)、波数(Wavenumber)、光谱带宽(Δλ)与频率域(V₀、ΔV)是描述波动特性的基本参数。这些参数在光学、声学、无线通信、医学成像等研究与应用中扮演着至关重要的角色。准确理解并转换这些参数之间的关系,不仅有助于深化对波动现象的认识,还为相关技术的开发与优化提供了坚实的理论支持。为此,我们开发了两款在线转换工具:光谱带宽 ↔ 频率域 换算器和波长 ↔ 波数 换算器,旨在帮助科研人员、工程师及相关领域的爱好者高效完成相关计算。
概念解析:
1.波长(Wavelength):
波长是指相邻两个波峰(或波谷)之间的距离,通常以米(m)或纳米(nm)为单位。在光学领域,波长决定了光的颜色。例如,红光的波长约为700纳米,蓝光约为450纳米。波长不仅影响光的视觉效果,还在光谱分析、通信技术等方面具有重要意义。
2.波数(Wavenumber):
波数是波长的倒数,表示每厘米的波数,单位为厘米的倒数(cm-1)。在光谱学中,波数用于描述光的频率范围,反映了光的能量特性。波数越大,表示波长越短,能量越高。波数在红外光谱、拉曼光谱等研究中广泛应用,用于分析分子的振动模式和化学组成。
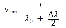
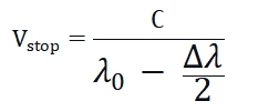
3.光谱带宽(Δλ):
光谱带宽指的是光源发射的光在波长上的分布范围,通常以纳米(nm)为单位。它描述了光的波长分布的宽窄程度。例如,单色光源如激光器具有极窄的光谱带宽,而白光则具有较宽的光谱带宽,涵盖了可见光的全部波长。
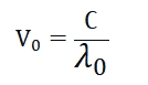
4.频率域(V₀、ΔV):
频率域涉及光的频率范围,通常以太赫兹(THz)为单位。光的频率与波长成反比关系,即频率越高,波长越短。中心频率(V₀)是指对应于中心波长(λ₀)的频率,而频率带宽(ΔV)则表示频率范围的宽度。频率域分析在光通信、光谱分析等领域具有重要应用价值,帮助科学家和工程师理解光在不同频率下的行为特性。
计算方法:
|
|
中心频率(V₀),其中λ0为中心波长: 起始频率(Vstart)和终止频率(Vstop):
频率带宽(ΔV): |
使用方法:
|
|
|
![]() |
光谱带宽 ↔ 频率域 换算器 |

点击图片,跳转网页
智能助手






