随着激光技术的发展,尤其是90年代基于钛蓝宝石自锁膜技术(KLM)和啁啾脉冲放大技术(CPA)的出现,激光器可以产生脉宽为飞秒,峰值功率为太瓦以上的超短脉冲。为物理学,化学,生物学以及光谱学等学科对微观世界和超快过程的研究提供了重要手段。
目前,提升激光脉冲峰值功率依然是世界各科研单位争先追逐的目标。如2017年,中国科学院上海光学精密机械研究所基于CPA技术率先实现了峰值功率为5PW和10PW的激光脉冲输出。但是,这么高的峰值功率,必然会对激光器中的光学元件造成损伤。故国际上针对PW级的激光系统一般分为两类放大方式,即基于啁啾脉冲放大技术(CPA)和基于啁啾脉冲光参量放大技术(OPCPA)。如图1,即为CPA原理图。
图1. 啁啾脉冲放大技术原理图

该两种技术为了降低放大过程中,激光脉冲对光学元件的损伤,都先用一个展宽器将激光脉冲由飞秒脉冲展宽成皮秒或纳秒脉冲,然后在增益介质中对展宽后的种子脉冲进行放大,最后用一个对应的压缩器对放大脉冲进行压缩,从而得到能量极高(焦耳量级)、脉宽极短(飞秒量级)、峰值功率极高(百太瓦或拍瓦量级)的激光脉冲,为探索微观世界和超快过程提供了工具。所以,在大能量的激光放大系统中,压缩器的设计至关重要。
这里就针对一套大能量拍瓦级系统,以双光栅压缩系统为例,设计一个合理有效的压缩器。
注意:
1. 本例不基于任何一个已存在的系统,如有雷同,纯属巧合。
2. 如需参考本例进行压缩器设计,请注意代入正确的激光参数(波长、带宽、脉宽、能量、光束口径等),并仔细确认计算结果(如有疑问可联系本公号协助确认),切忌直接套用压缩器尺寸进行设计或采购。
一、设计目标
放大器出射的光脉冲具体参数如表1:

表1. 放大器出射光参数
我们这里采取双光栅压缩结构,如图2所示. 经由放大器输出的宽带激光脉冲入射到光栅1上进行光谱展开,然后经过光栅2准直后,由90°折返屋脊镜降低高度,再经光栅2收集和光栅1准直,经反射镜后输出压缩器。实现光脉冲在时间上的脉宽压缩。其所用到的光学元件有:光栅1,光栅2,屋脊镜。

图2. 双光栅式压缩器. G1,光栅1;G2,光栅2, RM,屋脊镜;
二、设计步骤
其具体实施步骤如下:
1. 确定光斑大小
由于入射宽带激光脉冲有28J,根据光栅的损伤阈值经验值(例如JY公司提供,0.4 J/cm2,飞秒短脉冲 0.12 J/cm2),为了保证光栅无损伤,通过以下计算,可得:R≥66.7mm 即Φ=133mm.

为了增大安全系数,取光束口径为Φ=190mm.
2. 设定光栅入射角
一般对衍射光栅来说,入射角为Littrow角时光栅衍射效率最大。根据光栅方程:sinγ+sin(γ-θ)=λ⁄d,其Littow角(θ=0)为26.7°. 但是对于反射式压缩器来说,以Littrow角入射到光栅上时,其衍射光与入射光无法在空间上分开。所以,为了使衍射光与入射光分开,暂定入射角为40°.
注:在CPA系统中,压缩器的光栅参数和入射角在进行选择时,还需要考虑展宽器参数和放大器本身的色散情况,确保CPA系统的整体色散(包含二阶色散、三阶色散及更高阶色散)能够得到补偿。
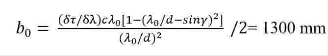
3. 确定光栅对间距
根据Treacy公式[1]可以计算出,图2所示结构的压缩器压缩量为2ns时,光栅对的斜距离为:

这里,关于光栅对的色散公式推导,不再赘述。详参见参考文献[1].
4. 确定光栅1尺寸
光斑以190mm的口径和40°的角度入射,在光栅上光斑为椭圆形,其长短轴分别为248mm和190mm。考虑到要上下分开入射脉冲和出射脉冲,并为折返镜留出足够的空间。则确定光栅1的尺寸为350mm*450mm(宽*高);
5. 确定光栅2尺寸
入射光在光栅1上展开后,在空间中传播1300mm,横向尺寸≥586mm,为保证调节余量,故确定光栅2的尺寸为680mm*450mm(宽*高);
6. 确定折返镜尺寸
横向586mm的光束经过光栅2准直后的横向尺寸为450mm,为保证调节余量,故确定折返镜的横向尺寸为550mm,纵向光斑尺寸为269mm。故两块折返镜的尺寸为550*305mm。
7. 光栅效率
这里设计的压缩器系统效率为60%,故每块光栅衍射效率在整个带宽范围内(1300nm~1700nm)和对应的入射角附近(这里为40°),必须确保88%以上的效率。

图3. 设计压缩器光路示意图
由上图可知,对于PW量级的压缩器,由于其入射光的光斑尺寸很大,故需要定制超大口径的光栅,为了减小单块光栅的尺寸,往往可以采用四光栅的压缩器结构。如图4,在四光栅结构条件下,压缩器参数是保持不变的。

图4. 四光栅压缩器光路示意图
8. 检验
可以将上述参数输入ZEMAX软件或其他类似的光学软件中进行光学追迹,若没有漏光、切光的现象,则可以确定该系统参数。现总结如下表3:

表3. 压缩器中各元件参数
这样,就可以去各个公司去订购光栅和折返镜了。
备注:这里笔者只是以最常见的四通结构的双光栅结构压缩器为例,为大家描述压缩器中各参数怎么确定。对于其它种类的压缩器和展宽器,如八通结构的双光栅压缩器,大能量下基于四块光栅的压缩器,Offner展宽器和Martinez展宽器等,都可以做到举一反三,更好的应用于科研生活中。
这里的光栅尺寸参数均为最合理的参数,具体采购光栅尺寸要依据所采购光栅的公司的实际情况来订。
引用文献:
[1] Treacy E B. Optical pulse compression with diffraction gratings [J]. IEEE J. Quantum Electron., 1969, QE-5(9): 454-458.
智能助手