激光被称为“最快的刀”,在加工领域有诸多应用,相比于传统加工方式,激光快速和精细的优势更为显著。传统激光如连续激光、纳秒激光是利用光的热效应对材料进行去除,而超短脉冲激光是利用场效应进行加工,不仅可以达到更高的精度,且不会对材料表面造成额外的热损伤,属于冷加工,因此广泛应用于各种精密加工的场景。
通常意义的超短脉冲激光包括皮秒(10-12秒)激光和飞秒(10-15秒)激光,皮秒激光相对于飞秒激光更容易获得较高的单脉冲能量,但飞秒脉冲在时间尺度上比皮秒脉冲短了三个数量级,因此仍具有非常高的峰值功率,并且热影区更小,所以对一些特殊材料和结构,飞秒激光脉冲是不可替代的。
图1长脉冲与超短脉冲加工的比较示意图
图2飞秒、皮秒、纳秒激光打孔效果对比
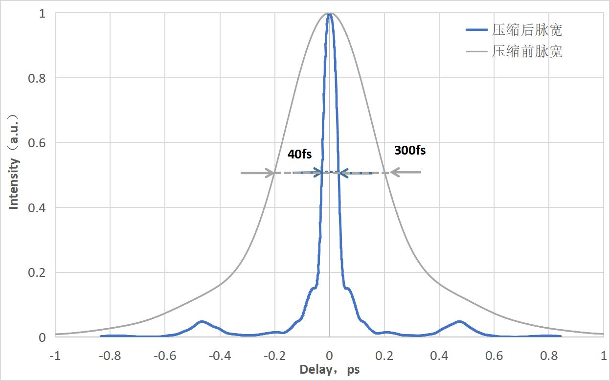
目前市场上可用于精密加工的飞秒激光器是基于Yb掺杂的1030nm激光,具有高功率、高重频的特点,能量可达毫焦量级,受掺杂离子傅里叶极限带宽的限制,自然输出的脉冲宽度一般在300fs左右。
飞秒激光精细加工的优势有目共睹,但由于成本昂贵且精密加工的工艺仍处快速发展过程中,目前真正面向广阔民用市场的应用还没有展开,诸多的匹配参数和应用方向正在研究中。在精密加工过程中脉冲宽度是最重要的参数之一,为了探索不同材料、不同加工过程的最佳匹配参数,需要更窄的脉冲宽度来尝试产生“质变”的节点;或者需要观察超短脉冲激光与物质相互作用的瞬态过程,脉冲越短意味着时间分辨率越高,都就对飞秒激光技术提出了进一步的挑战。
上海镱镭飞秒激光技术有限公司近期交付了一套<50fs的超短脉冲激光系统用于精密加工,是在常规的高功率高重频飞秒激光的后端匹配一套MPC非线性脉冲压缩系统,将300fs的脉冲宽度压缩到了<50fs实现了>6倍的压缩倍率。
图3 压缩前后脉冲宽度对比图
整体参数如下:


图4 设备现场安装实物图

图5 长期功率稳定性测试图
图6光斑轮廓及光点指向性测试
图7脉冲宽度测试图
镱镭激光相关产品

智能助手